匠人匠心 至诚至精

为客户提供满意的仪器仪表产品

全国咨询电话:

+86 150-7907-3353

关于明升88

当前位置:首页 > 关于诚睿

CRT调整型流量计

调整型流量计是一种新型的差压式流量计,它继承了传统差压流量计结构简单、安全、便于检修维护的优点,同时对基于中心的开孔的传统节流装置进行了较大的改进,在流体力学方程的基础上,将节流装置进行四孔等效均匀对称分布,孔径比及孔的分布通过大量试验数据以获得较佳测量效果。调整型流量计的操作原理同其它类型的差压流量计的工作原理相同,但调整型流量计是在节流元件上开具四个等径的节流孔,孔的分布基于多年的实验数据,均布的节流孔将流速曲线重塑,并在节流件的下游可形成低压区。

立即咨询:15079073353
产品介绍

一,主要特性:

调整型流量计是一种新型的差压式流量计,它继承了传统差压流量计结构简单、安全、便于检修维护的优点,同时对基于中心的开孔的传统节流装置进行了较大的改进,在流体力学方程的基础上,将节流装置进行四孔等效均匀对称分布,孔径比及孔的分布通过大量试验数据以获得较佳测量效果。调整型流量计的操作原理同其它类型的差压流量计的工作原理相同,但调整型流量计是在节流元件上开具四个等径的节流孔,孔的分布基于多年的实验数据,均布的节流孔将流速曲线重塑,并在节流件的下游可形成低压区。管道上游的正压同经节流件节流后下游的负压之间有压差,将正、负压用取压口取出,通过测量两个取压口之间的差压值,根据伯努力方程可计算出管道中介质的流量。由于节流件可对所测介质的流速曲线进行优化,因此测量精度高,对仪表上、下游的直管段要求低。

二、流量计组成

CRT调整型流量计分两种结构——一体式和分体式。一体式由一次阻流(传感)元件、变送器和阀组组成,分体式除上述部件外还增加了引压管线。

三、工作原理

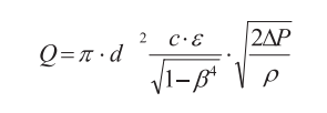
调整型流量计是一种差压型流量仪表,迄今为止以差压原理设计的流量仪表已经有一百多年的应用历史了。差压原理就是基于密封管道中的能量转换原理,也就是说对稳定流体,流量同管道中介质流速的平方根成正比。我们知道,当速度增加时压力会降低,当介质接近节流件时,其压力为 P1,在介质通过节流区时,由于介质流通面积减小,流速会增加,压力降低为 P2,P1 和 P2 都通过流量计的取压口接到差压变送器上,流量变化时,流量计的两个取压口之间的差压值会增大或缩小。流量相同时,若节流面积大,则产生的差压值也大。

Q:体积流量   

d:开孔直径    

c:流出系数   

ε:气体压缩系数   

β:等效孔径比    

ρ:流体密度   ΔP=差压值

四、主要优势

1、精度高、重复性好调整型流量计精度可达测量值的±0.5%,校准精度可达±0.25%,重复性优于 0.1%。调整流量计整流结构设计,使流体通过节流件后形成细小且对称分布的涡流,这些等效均匀分布的小涡流使输出的差压信号稳定,而且能使流体在差压值很小的情况仍能保持较高测量精度,因而测量精度高,重复性好。

2、 直管段要求低调整型流量计的多孔均流设计,可以对上游流体的流速曲线重新分布,使其接近理想流体,使仪表在恶劣的条件下获得较高的测量精度,多数情况下建议安装时在前后留 2D 直管段可达成测量要求。

3、耐磨损,长期稳定性好调整流量计的四孔采用数控加工中心方式组合加工,节流件无锐角尖口,节流件不宜磨损,因而耐磨性好,长期稳定性高。

4、可测量双向流量及变送器的冗余输出由于平衡流量计结构设计为几何对称式结构,因而可以用单台流量计实现双向流体的测量,另由于其圆周方向同样为几何对称结构,因而用一台流量计可以实现 3 路差压信号输出,达成 ESD 系统中需要三取二投法时对变送器的冗余需要。

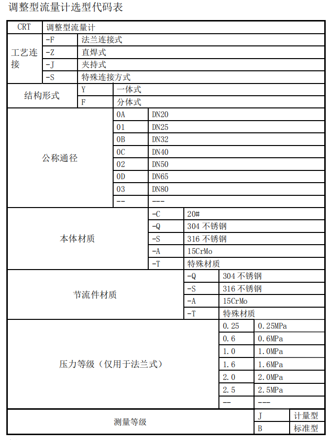
五、选型表

例:CR T -F Y 04-C -Q 1.6 J 调整型流量计,一体式法兰连接,公称通径为DN100,本体材质为 20#,节流件材质为304,压力等级 1.6MPa,计量型。以上就是调整型流量计的产品介绍。

产品标签:
调整型流量计
差压流量计
平衡流量计