
平衡流量计是一种新型的差压式流量计,可适用于介质及工况要求的高精度流量计,可测雷诺数的范围为 5000~1000000。平衡流量计的操作原理同其它类型的差压流量计的工作原理相同,但与传统节流装置在管道中心开孔不同,平衡流量计在管道中心处开具节流孔,孔的分布及数量基于特殊的公式及多年的实验数据,称为函数孔。当流体穿过节流件的函数孔时,节流件就同时具有节流取压和标准流场整流的双重功能,因而涡流被小化,较大限度的将流场平衡调节成近似理想流体,因此测量精度较传统节流装置增加 5~10 倍,并大大节省仪表上、下游的直管段要求,小的直管段可低至 0.5D。
一、主要特性
平衡流量计是一种新型的差压式流量计,可适用于介质及工况要求的高精度流量计,可测雷诺数的范围为 5000~1000000。平衡流量计的操作原理同其它类型的差压流量计的工作原理相同,但与传统节流装置在管道中心开孔不同,平衡流量计在管道中心处开具节流孔,孔的分布及数量基于特殊的公式及多年的实验数据,称为函数孔。当流体穿过节流件的函数孔时,节流件就同时具有节流取压和标准流场整流的双重功能,因而涡流被小化,较大限度的将流场平衡调节成近似理想流体,因此测量精度较传统节流装置增加 5~10 倍,并大大节省仪表上、下游的直管段要求,小的直管段可低至 0.5D。
二、流量计组成
CRD系列平衡流量计分两种结构——一体式和分体式。一体式由一次阻流(传感)元件、变送器和阀组组成,分体式除上述部件外还增加了引压管线。

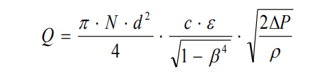
Q:体积流量
d:开孔直径
N:孔数c:流出系数
ε:气体压缩系数
β:孔径比ρ:流体密度 ΔP:差压值
四、主要优势1、量程比宽平衡流量计的量程较其它类型的差压流量计大得多,正常情况下为10:1,若有需要可以加大。在雷诺数高于10000时,输出信号为线性,若低于10000也可测量,但需根据流体状况对输出信号根据曲线进行修正。
2、直管段要求低伯努力方程要求受测流体为理想流体,在实际应用中这是根本不可能的,很多情况会造成流体分布不均匀。平衡流量计可在较为恶劣的情况下均横流体分布,使仪表在恶劣的条件下获得较高的测量精度,通常建议安装时在前后留2D直管段。
3、可测量水气压缩空气、饱和蒸汽等气体采用孔板测量时,孔板前常有积水,影响测量精矿度。解决该问题的方法通常是将节流装置安装在垂直工艺管上,或改用圆缺孔板或偏心孔板。而多孔平衡节流装置因其本身多孔的特点可以根本解决节流件前积水的问题,而又因为这是其固有的特点而不需要特制处理,所以不会对测量造成不确定性。
4、压力损失低由于多孔均流,对流体阻碍小,因此平衡流量计的压力损失比孔板低。另外由于信号稳定,平衡流量计的满量程差压值低,满量程流量的差压值可为4~5Kpa或小,这也使平衡流量计压力损失可以较大限度地减小。
五、选型表